Для того чтобы воздействие на людей привело к желаемому результату, необходимо заранее разработать систему мероприятий, которые должны быть проведены в определенной последовательности. Именно по этой причине первым в цепи функций управления является планирование.
План — это заранее разработанная система мероприятий, определяющая последовательность их проведения для достижения намеченной цели. Таким образом, планирование — это процесс выработки целей и разработки системы мероприятий для их достижения. Составление обоснованного плана предусматривает анализ, прогнозирование и целеполагание.
Анализ. Для того чтобы правильно поставить цели и разработать мероприятия, план должен обосновываться обширными исследованиями и фактическими данными. Фирма должна постоянно заниматься сбором и анализом огромного количества информации об отрасли, рынке, конкуренции и других факторах, чтобы эффективно конкурировать в сегодняшнем мире бизнеса. Анализ служит исходной точкой прогнозирования, планирования, управления экономическими объектами и протекающими в них процессами. В результате анализа производится разложение экономических процессов и явлений на составные части, элементы, выявляется сущность, закономерности, тенденции экономических и социальных процессов, хозяйственной деятельности на всех уровнях (в стране, регионе, на предприятии, в частном бизнесе, семье). Это позволяет обосновывать с научных позиций управленческие решения, способствует выбору лучших вариантов действий. Ретроспективный анализ представляет собой изучение сложившихся в прошлом тенденций. Перспективный анализ направлен на изучение будущего.
Прогнозирование. Как показывает практика, прежде чем поставить цели, необходимо предусматривать возможные изменения условий, т.е. нужно знать, что может быть. На этот вопрос отвечает прогноз.
Прогноз — это научное заключение о предстоящем развитии чего-либо. Именно научность — основной признак отличия прогноза от гадания (на картах, кофейной гуще и т.п.). Очевидно, что для достижения цели необходимо проводить прогнозные исследования и на их основе составлять план и его альтернативы с учетом возможных отклонений. В основном применяются статистические методы прогнозирования, а также методы экспертных оценок. Научная дисциплина, изучающая общие принципы и методы прогнозирования развития объектов любой природы, закономерности процесса разработки прогнозов, называется прогностикой. Как наука прогностика сформировалась в 1970— 1980-е гг.
Целеполагание. Цель фирмы — это результаты, которых стремится достичь фирма. Современный менеджмент предполагает формулировку целей исходя из миссии фирмы. Под миссией понимают основную главную идею существования фирмы или организации, ради которой она и создана. Например, миссия фирмы McDonalds — «Быстрое, качественное обслуживание клиентов с помощью стандартного набора продуктов»; миссия фирмы Mary Kay — «Украшать жизнь женщин во всем мире»; миссия «Красного Креста» — «Защищать беззащитных»; миссия компании ЗМ — «Решать нерешенные проблемы инновационно». Исходя из миссии, фирма определяет цели как долго-, так и краткосрочные. Чаще всего для этого составляется схема-граф, который называется деревом целей.
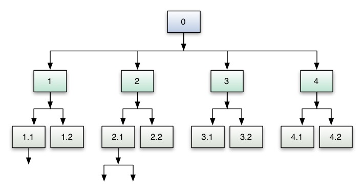
Название «дерево целей» связано с тем, что схематически представленная совокупность распределенных по уровням целей напоминает по виду перевернутое дерево. Представление целей начинается с верхнего яруса, дальше они последовательно разукрупняются. Причем основным правилом разукрупнения целей является полнота: каждая цель верхнего уровня должна быть представлена в виде подцелей следующего уровня исчерпывающим образом, т.е. так, чтобы объединение понятий подцелей полностью определяло понятие исходной цели. Пример построения фрагмента дерева целей представлен на рис. 1.2.
Так как система — это порядок, обусловливающий единство, то должна быть продумана последовательность проведения этих мероприятий по датам и исполнителям. План определяет то, что должно быть. После процедуры целеполагания необходимо разработать систему мероприятий, осуществление которых приведет к достижению целей.

Рис. 1.2. Пример построения дерева целей:
0 — главная цель — повысить производительность труда; 1 — изменить материальное стимулирование; 1.1 — совершенствовать системы и формы оплаты; 1.2 — совершенствовать систему премий и штрафов; 2 — создать систему морального стимулирования; 2.1 — создать ощущение причастности к коллективу; 2.2 — создать у работников ощущение стабильности и защищенности; 3 — изменить плановые нормы выработки; 3.1 — сделать «фотографии» рабочего дня; 3.2 — изменить организацию подготовительного и заключительного времени; 4 — внедрить новые технологии; 4.1 — заменить оборудование; 4.2 — произвести переобучение работников
Обобщение опыта хозяйственной практики позволило сформулировать теоретические основы для разработки оптимальных планов. Существуют две основные системы планирования — директивная и индикативная.
Директивная (от лат. directio — направление) — система, основанная на прямых указаниях и распоряжениях руководства по большинству мероприятий.
Индикативная (от лат indicator — указатель, показатель) — система, при которой руководством разрабатываются основные плановые показатели. Планирование мероприятий по достижению этих показателей делегируется исполнителям.
В зависимости от вида бизнеса и стиля хозяйственного руководства менеджеры используют ту или иную систему планирования.
Принципы планирования. В число таких принципов входят:
1) научность. В экономических отношениях много здравого смысла. Однако любое решение, которое принимается специалистами-менеджерами или экономистами, должно быть основано на экономических законах. Удачливость некоторых бизнесменов, не получивших специального образования, говорит не о том, что решения принимаются исходя из здравого смысла, а о способности этих бизнесменов интуитивно «улавливать» экономические закономерности;
2) единство экономического и политического подходов. Очевиден тот факт, что на экономические отношения оказывают влияние политические решения. С другой стороны, политика — это концентрированное выражение экономики, поэтому в основе политических решений всегда лежат отношения по поводу благ;
3) непрерывность. Суть этого принципа состоит в том, что процесс производственно-хозяйственной деятельности нуждается в постоянной корректировке тактических плановых заданий. Соблюдению этого принципа способствует перекрытие плановых горизонтов;
4) комплексность. Данный принцип заключается в необходимости планирования системы мероприятий, всесторонне охватывающих производственно-хозяйственную деятельность. Соблюдать этот принцип позволяют разработанные и опробованные в течение десятилетий методики планирования;
5) сбалансированность и пропорциональность. Этот принцип вытекает из предыдущего. Если комплексность обеспечивает всеохватность плана, то сбалансированность и пропорциональность плана определяют необходимые количественные соотношения между сферами и масштабами деятельности подразделений и служб предприятия, требуемыми затратами и ресурсами.
Методы планирования. Исходя из определения планирования, методы планирования представляют собой способы разработки мероприятий и определения последовательности их проведения.
Балансовый метод — это метод разработки плановых мероприятий на основе соотнесения имеющихся и требуемых ресурсов.
Норма_ (эконом.) — максимально допустимая величина абсолютного расхода ресурса на единицу или на объем продукции.
Норматив_ (эконом.) — относительная величина использования ресурса в пересчете на единицу продукции.
Нормативный метод является методом разработки мероприятий на основе норм и нормативов, которые обусловлены юридическими законами, законами природы, национальными и культурными традициями, климатическими условиями и т.п.
Программно-целевой метод предполагает разработку системы мероприятий исходя из поставленной цели, например строительство дома или электрификация России. Временной промежуток, необходимый для осуществления этих мероприятий, не обязательно кратен календарным периодам. Система мероприятий для достижения цели получила название программы.
Аналитический метод подразумевает разработку плановых мероприятий на основе выявленных в процессе анализа тенденций развития и экстраполяции, т.е. переноса этих тенденций в будущее. В экономике применяется большая группа методов анализа: графический, факторный, корреляционный, кластерный, морфологический, системный, структурный, функционально-стоимостной и т.д.
Экономико-математический метод предусматривает разработку мероприятий и последовательности их проведения на базе математических моделей, которые выражают зависимость между экономическими категориями в виде формул. Модели, в формулах которых используются знаки сложения и вычитания, называют аддитивными, а модели, при составлении формул которых используются знаки умножения, — мультипликативными.
В зависимости от целей и средств, которые предполагается использовать при выполнении плана, выделяют различные виды ориентации плановой работы:
Очевидно, что при составлении комплексного плана в различных сферах деятельности предприятия используются различные виды ориентации плановой работы.
В зависимости от целей и задач, которые ставятся перед системой мероприятий, различают долгосрочные (стратегические), краткосрочные (тактические), оперативно-календарные (текущие), а также бизнес-планы.
Долгосрочные, или стратегические, планы разрабатываются для того, чтобы определить основные направления развития фирмы. В них определяются ключевые показатели.
Краткосрочные, или тактические, планы разрабатываются на основе долгосрочных. Ключевые показатели стратегических планов выступают в них как цели.
Оперативно-календарные, или текущие, планы определяют необходимые мероприятия и задачи текущей работы вплоть до сменного и суточного задания.
Временные горизонты описанных планов зависят от вида бизнеса. Так, годовой план для атомной электростанции является текущим, а для коммерческого киоска — стратегическим.
Бизнес-план — это деловой план. «Бизнес» дословно переводится как «дело». С этой точки зрения любой из рассмотренных выше планов является бизнес-планом, однако в хозяйственной практике под бизнес-планом понимается документ, в котором приводится технико-экономическое обоснование предполагаемой деятельности. Бизнес-план предоставляется в банк или предполагаемому инвестору и в нем, наряду с плановыми мероприятиями, приводятся результаты анализа.
| Основы управления фирмой | Организация |